Of course EVs are better than petrol cars.
You know what’s even better than EVs?
Bicycles!
Make cities livable FFS!
Give me transit! I live rurally. I’d hope on a train instead of driving four hours to the city but they keep ripping up train tracks here instead of funding transport.
I came here to be the insufferable person against cars to say just that, and you beat me to it. But I’ll add this.
I’ll also preface with, yes electric cars are better than cars with internal combustion engines. IF you need to get a new car, get an electric one, but only if.
However, they also emit pollution from the tires. Sometimes more than cars with internal combustion engines, because they are heavier. Speaking of that, being heavier, they also cause more potholes and thus, makes roads more costly to maintain. And at highway speed, those tires are also noisy.
Then there’s the whole problem of having to store the cars, with surface parking creating heat islands.
Cars also kill millions of animals every day. There’s around 65,000 deer killed every year in New York state alone.
And obviously they also kill humans. Inside and outside of them.
So, yeah. Fuck Pierre Poilievre and the Conservatives. But fuck the Liberals for being corporate bootlickers pushing electric cars, as if everyone would just need to switch and all the other problems will be fixed.
We need better intercity services! Right now they are actively deteriorating in a lot of parts of the country. Coaches are worse than they were 10, and even 20 years ago. The new VIA Rail trains have abysmal punctuality because of the CN, and they also still don’t take bikes on the corridor. Bike paths and bike lanes are attacked and criticized in every city where they could make an impact.
But all of this is much too woke. When the highways will be congested by electric pickup trucks, it will be paradise. We might just need to add one more lane bro, but then this inefficient and dangerous mode of transportation will be fixed forever.
Electric cars are only there to save the auto industry. Humanity is not running to ruins, it’s taking a car.
Also with the style of car north americans like, big heavy SUVs, a big electric SUV over its production, use, and disposal could pollute more than a smalller, effecient, ICE.
This north American wants better options for a smaller more efficient car, preferably electric, but at minimum hybrid. And I have for many years.
Annoyingly, there are very few options being offered by the manufacturers.
deleted by creator
Surface parking, yes. Roads, no. Solar roads, while cool, are vaporware and will not work.
deleted by creator
Yes men, terraform more so the car-kin can live happily.
Long story short: drivers keep hitting them.
See also: recovery zones and sheer bolts for poles
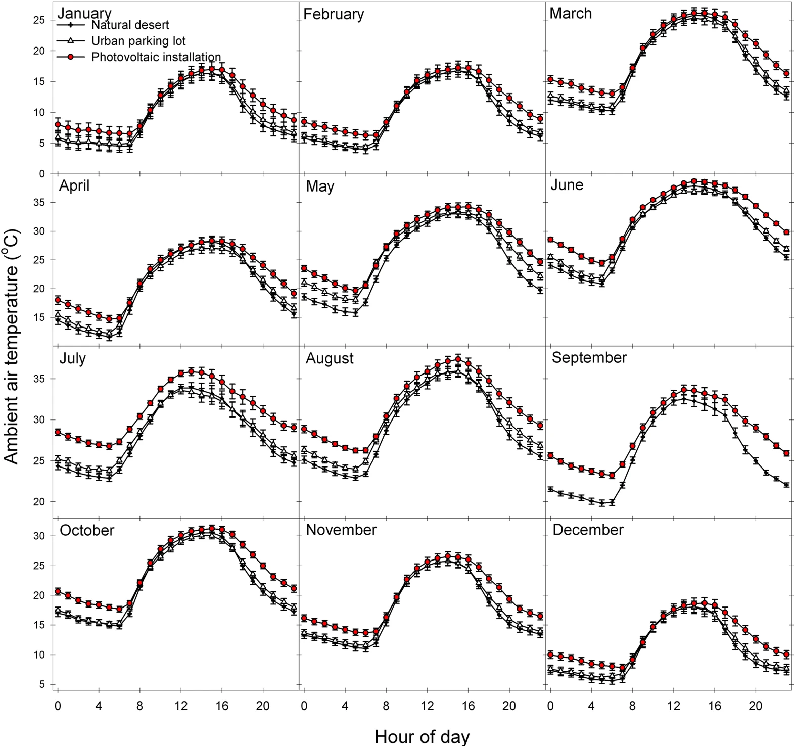
Put the panels on parking lots but why not on farmland where it’s beneficial?
It’s early days, but solar panels on farmland can be better for them. Aussie wool farmers have found some shade on their grazing land is better for the plants and sheep.
deleted by creator
Long range transmission is a solved problem. Check out Hydro Québec. The majority of their production happen 700+ km away from Montréal and Québec City.
Above roads sounds like a good idea, until you realize how often drivers hit stuff.
I thought solar over surface parking could be good in certain conditions, and maybe it can, in small installations. But there has been research done on this subject and it’s not entirely clear. Large photovoltaic farms often increases heat island effect.


Source: The Photovoltaic Heat Island Effect: Larger solar power plants increase local temperatures
There is a cooling effect provided by the panels, because of the shade, but it’s not that much. Putting them inside giant parking lots and over roads could ends up making things warmer around those areas.
Anyway, the point is not that we will require more or cleaner energy for those cars, the point is that they still create pollution, space, and lethal issues.
Car dependency should be reduced. Some highways and elevated expressways should be changed into urban boulevards or even simply demolished. Power usage should be stabilized. Consumption should be reduced. Habits should be changed.
It’s unreasonable to expect everybody on the planet and in cities to have a 2 tons giant cube of metal wasting energy to move itself and the little bag of meat inside everywhere they go. Alternatives to car dependency have to be provided.
I’m sorry but solar panels here and there are not gonna be enough with the current trajectory.
That is comparing vegetation to solar panels. Black roads already have a very high albedo and absorb light and convert to heat. Shading roads are a decent idea except the structure to hold them up is costly. We should be completely covering commercial flat roofs first - that’s the most win-win.
In 2024 the liberal government gave nearly 30 billion in subsidies to the oil and gas industry. Is it a wonder that the conservatives are 1-upping and actively attacking electrification?
My EV is better than my gas car in every conceivable way except for the lack of rural charging infrastructure - which ain’t my car’s fault.
Yes, the purchase price was higher than my last car, but my first service that’s more than inspections or replacing the cabin air filter is at 96,000km and that’s to replace the brake fluid. There is basically zero maintenance cost.
I also charge it almost exclusively using my solar panels. Actual cost of ownership is cheaper than my old gas car, it’s more comfortable, absurdly fast, and I never have to stand in the cold pumping gas. Now if only someone would start selling an EV station wagon in Canada…
I’d love a electric compact pickup. 2 seats, 6.5’ box, 4wd. Covers 99% of truck activities and 100% of daily needs.
EV Kei truck now!
Thats basically an EV side-by-side, which can be made street legal in a lot of states BTW.
Edit: side note, EV conversions of older side-by-sides aren’t too bad a process. I’m in a debate with myself of which route to go, but its mostly going to depend on what I can get my hands on. There are usually a good chunk of used kubotas by me, so I’ll probably grab what I can used and working, and another thats not working/needs repait for the ev project.
I was so enjoying not having to see his face.
Fun facts (that should never get in the way of PP rant) :
- Solar is government sibsidised
- Rural is the best location for solar (what with all those acreages, barns etc)
- Full off-grid capabilities where you don’t have to run to town for anything)… well.maybe dieselfor tractor
- I see quite a few rural installs and when I mention to folks availability of Solar at slight premium for the first 10yrs a lot of folk are “sold” on the idea
so yeah, Armageddon and killing a way of life… maybe hillbilly’s way of life but definitely not rural, 'cause we’re down with full power independence baby!
Absolutely we are. I have a big chunk of land. Directly next to a major transmission line and power transfer station. All the possibilities for wind and Solar have been explored to ensure it is an appropriate area and it is. A premium area for wind power it turns out. I’ve been pushing for a solar or wind installation from anyone including the province. Crickets.
Did you look at Greener Homes Plan? It’s a federal program and similar to First Home Buyer’s program where you get interest free loan for 10 yrs and power companies for the most part have a program of “buying” your excess power so you can start with that. BC Hydro offers $5k rebate on battery systems as well, so now is a good time to jump in.
I think we aren’t far off from electric tractors becoming common. That could work well for an off grid set up. You’ll still need some grease for the joints but maybe we could make bio grease from natural plant oils?
He’s weird.
All I need for 90+% of my transport would be a small EV about the size of a smart car to use when the weather is poor. I use an electric bicycle as often as I can. Most of my driving is to the shops and back about 4km in total. I have a camping rig for May through September where I attend a music school. Also I really enjoyed the time where we saw much less of him in the media. He is deeply unlikable.
A Renault Twizy?
I do not care what it would be called I only want something that meets my needs and is not made in america.
No, it exists.
Cries in American The closest grocery store is 5.5 km, (3.5 miles,) away from me. My preferred grocery store is 16km, (10 miles,) away. My city population is 102,925 people. I analog and e-cycle too. I hate it here.
And even then, depending on where you live, 4km to the shops is pretty ridiculous. I walk/metro to everything and take the car only for very rare Ikea trips and stuff. Even rural towns needn’t be so spread out so most of those folks should be able to walk their village, too.
That’s what conservatives do. Everywhere. Ignore the problems, hen try to do a diversion.
Ugh, I really don’t need to see his face on Lemmy.
Histerical? Get a doctor to start flicking his sad little bean then.
Nothing but another lame oil shill. He’s so desperate he’d give you a gas car just so you have to stop to fill it up.
My EV is the best purchase I ever made. So glad I’m out that O&G game.
🤣🤣🤣





